木材树种是一类与人类息息相关的重要资源植物,对于维持全球生态系统服务功能和生物多样性保护具有非常重要的价值。然而,木材非法活动经常出现在盗砍盗伐、非法加工和出口、虚假申报以规避濒危物种国际贸易公约(CITES)或避税等过程中,因此开发准确、快速的木材树种鉴定工具,对于遏制盗砍盗伐和相关非法贸易、保护生物多样性具有非常重要的实际应用价值,而构建木材树种的DNA条形码参考数据库是其中的关键步骤与重要环节。DNA条形码技术利用短且标准化的DNA片段进行物种鉴定,目前已广泛应用于药用植物鉴定、出入境动植物检疫以及入侵物种识别等诸多重要领域。
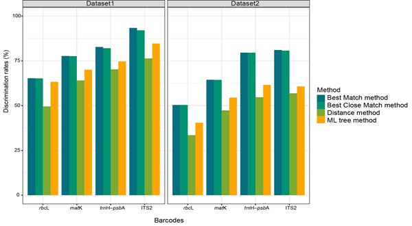
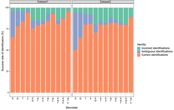
为评估DNA条形码技术作为木材树种鉴定工具的潜力,版纳植物园李捷研究员率领植物系统发育与保护生物学研究团队,通过广泛的数据收集和系统整理,构建了中国和国际贸易中1550种常用木材树种(隶属124科656个属)的DNA条形码数据库。研究发现,核基因ITS2片段在中国木材树种中表现出最高的鉴定分辨力,而条形码组合matK+trnH-psbA+ITS2则在世界常用木材树种的识别与鉴定中表现出更高的物种鉴定能力。该研究进一步强调,为了提升识别木材树种及其制品的能力,我们未来仍需在高分辨条形码的开发和现有条形码数据库补充完善的工作中持续努力。这项工作所建立的木材树种DNA条形码数据库将为相关林业监管和执法、打击非法采伐、生物多样性保护等工作提供强有力的技术支撑。
研究结果近期以“Assessing candidate DNA barcodes for Chinese and internationally traded timber species”为题,在线发表于国际DNA条形码权威期刊Molecular Ecology Resources。版纳植物园综合保护中心植物系统发育与保护研究课题组博士研究生胡建霖为论文第一作者,李捷研究员为论文通讯作者。此外,这项研究得到了版纳植物园园林园艺部,澳大利亚阿德莱德大学Eleanor E. Dormontt博士、John G. Conran教授和Andrew J. Lowe教授的大力支持与帮助。该研究得到了中国科学院项目、国家自然科学基金、国家科技基础资源调查专项、中国科学院生物多样性保护策略等项目的资助。

基于不同方法对四个条形码片段鉴定成功率的比较分析(Dataset1代表中国常用木材树种数据集,Dataset2代表中国和国际贸易中常用木材树种数据集)

基于距离法对单条形码和条形码组合鉴定能力的比较分析(R,rbcL;M,matK;T,trnH-psbA;S,ITS2)

中国木材树种科级水平鉴定成功率与种属比的统计分析(A:rbcL, B:matK, C:trnH-psbA, D:ITS2)