从网上买的楠木(楠木Phoebe zhennan)手串是否真实?
放入炒锅的香叶(月桂 Laurusnobilis)真如超市标码上所写?
樟科植物中无花无果物种如何鉴定?
……
DNA条形码技术的应用,使得这些难题都有方法可循。
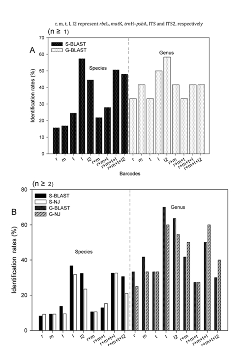
樟科植物作为常见的重要经济林木,在林业、轻工、医药等领域都占有重要的地位,大多数种类集中分布于长江以南各省区,然而对其物种的把握与识别却始终是困扰大家的一个难题,阻碍了对其实施有效的生物多样性保护与开发利用。物种的准确鉴定是一切生产、应用与研究至关重要的第一步。为了探寻与评估DNA条形码技术对这一难题的解决能力,版纳植物园李捷研究组的博士研究生刘志芳和慈秀芹利用该研究组在樟科植物分类与系统学方面近二十来年的研究与积累,将DNA条形码技术与樟科形态学特征相结合,分别从条形码的鉴定能力、物种纠错能力和系统演化等三个方面进行了分析与探讨。研究发现国际条形码组织推荐的核心条形码matK和rbcL与补充条形码trnH-psbA、ITS和ITS2,除对基部的部分类群有好的鉴定表现外,整体上对樟科植物的物种鉴定能力较弱;但是条形码ITS,如果不考虑序列的扩增与测序困难问题,其鉴定能力最佳,推荐作为樟科植物的有力条形码;条形码技术与形态鉴定相结合,对樟科物种鉴定纠错率高达10.8%;条形码数据可以一定程度地重建樟科植物的系统演化。此项研究对林业、轻工、医药领域利用樟科植物资源具有较高的参考价值,对樟科植物的分类与系统发育研究以及种质资源保护也有重要的意义,同时该研究也为正在开展的东南亚等地区樟科植物调查提供了数据参考。
该研究得到NSFC (31370245, 31500454)和MOST (2011FY120200–4,2012FY110400)基金的资助,以及中科院东南亚生物多样性研究中心(Y4ZK111B01)的资助,研究结果以DNA Barcoding Evaluation and Implications for Phylogenetic Relationships in Lauraceae from China为题发表于PLoS ONE。

基于BLAST 和 NJ树的分析,单片段与组合片段在种水平和属水平的鉴定能力统计(A: n ≥ 1; B: n ≥ 2)